とあるお兄さんの雑記

基本的に技術系の内容を書きますが、何を書くかは私の気分です。

2023-01-01から1ヶ月間の記事一覧

統計学基礎vol.51〜無相関の検定と偏相関係数〜

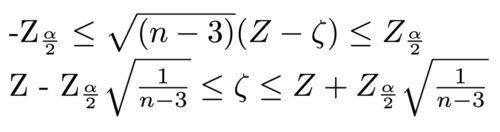
気づいたら年が明けてました。だから何やねんって話ですが。 無相関の検定 母相関係数の信頼区間 偏相関係数 層別解析 まとめ 無相関の検定 標本から算出した相関係数を使って、母集団の相関係数が0かどうかを検定すること。 帰無仮説: 母相関係数は0(無相…